Al menos hasta leer primero en qué consiste eso de la diversidad biológica.
No sé qué pasa; parece que cuando toco un tema en clase, y digo aquello de “fijaros en el tratamiento habitual de tal concepto”, dichos conceptos habitualmente maltratados me presentan en súbita manifa la señal del pajarito.
Ayer tocó tratar en clase biodiversidad, contrastándolo con diversidad funcional, riqueza de especies, y la madre nodriza de todos ellos, diversidad ecológica.
Hoy me topo con una noticia que me llama la atención: tres colmenas de abejas melíferas, mantenidas en el tejado de Notre-Dame de París, sobrevivieron al incendio del año pasado. Prestan las abejas, presta la miel, y presta eso de la ganadería: mantenemos muy cerca y protegidos de las interacciones propias de la vida silvestre a animales seleccionados por su temperamento y tipo de producción. Y usar las vastas superficies de entramado de piedra y madera de los poblamientos humanos para producir alimentos, o para dejar sitio a otros seres vivos, es un avance necesario.
Dice la noticia, en The Guardian:
Las abejas melíferas urbanas, de la variedad Hermano Adam Buckfast, fueron desarrolladas por un monje benedictino en los años 20 por su suave temperamento. Las colmenas de Notre- Dame se instalaron en el techo de la catedral en 2013, como un gesto para promover la biodiversidad.
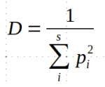
La diversidad biológica, de la cual el término biodiversidad es un atajo embarrado, comprende el número de especies, sí; pero también la abundancia relativa de cada especie. La equitatividad de la presencia de las distintas especies. Uno de los múltiples índices de diversidad disponibles dice:

En español, la diversidad aumenta con el número de especies, desde 1 hasta S, y aumenta también con el reparto equitativo de individuos entre esas especies.
Imagina una reunión aficionados al fútbol, aunque luego tengas que pasar por una reunión de fuboleros anónimos; dicha reunión está compuesta por diez sufridores del Sporting de Gijón, uno del Oviedo, y uno del Avilés, todos ellos con sus colores distintivos. Imagina ahora otra reunión, en la que hay 4 de cada equipo. La primera reunión incluye algunos valores deseables, pero es mucho menos diversa: los aficionados del Sporting dominarían la función de aficionar en dicha reunión.
A ver dejamos en paz la diversidad biológica, que se las apaña normalmente bien cuando dejamos martillos, motosierras y demás instrumentos GI Joe en el caseto de aperos.

